喜欢0次
团队:芯光 队伍编号:CICC1787
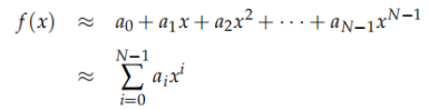
查找表与多项式近似结合算法是一种把查找表算法和多项式近似算法综合到一起的算法。这种算法综合了两种基本算法各自优势,通过将多项式各项系数存入查找表提高计算效率。多项式近似如下所示,其中f(x)是要逼近的函数,N是多项式近似中的项数,ai是第i项的系数。在保持期望的输出精度的同时,区间[xmin,xmax)通常被划分为大小相等的2m子区间,每个子区具有不同的系数集。逼近后的函数由多项式的项数、进行逼近的定义区间长度及选取系数的方式决定。

每个子间隔的系数存储在查找表中。用Xm来选择系数,所以方程变成:

使用查找表与多项式近似结合算法实现对数函数,如下图所示为指数函数的流水线结构:

下图为仿真结果:

